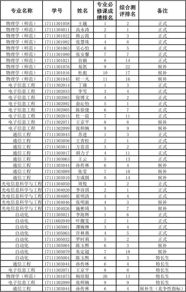
根据必赢线路检测3003“关于做好我校2021届优秀本科毕业生免试攻读硕士学位研究生推荐工作的通知”(教务处[2020]48号)文件精神,必赢国际推荐2021届本科毕业生免试研究生工作正在进行。经过各专业内初选及公示,学院推免生遴选工作小组对符合条件的应届本科毕业生进行了审核遴选,拟推荐以下同学为2021届本科毕业生免试攻读硕士学位研究生人选(含候补人选)。现将名单予以公示。

对公示情况如有异议,请于2020年9月27日前与必赢国际联系,联系电话:3883563。
必赢线路检测3003no1
2020年9月25日